哈希表
认识哈希函数和哈希表的实现
哈希函数
1)输入域 ∞(可以输入任意数量字符),输出域(输出字符必须有限)必须有限,比如说 md5,sha1 md5 的输出范围是 0-2的64次幂-1 假设加密后的 md5 为49ba59abbe56e057,每一位都是 16 进制,一共 16 位,16的16次幂 = 2的64次幂 sha1 的输出范围是 0-2的128次幂-1
2)相同的输入一定有相同的输出值,没有任何随机成分
3)不同的输入也可能是相同的输出值,也称哈希碰撞(由于输入域特别大,输出域小,出现的概率极低)
4)输出值具有均匀性和离散型 解释:假设输入域是一个圆,每次输入一个值,对应园中有一个点,则当输入数量较多后,用一个随机固定大小的小圆圈放到大圆中的任何一个位置,小圆圈中的点的数量都是差距不大的,这就是均匀性和离散性
例: 假设我们有一个文件中有 40 亿个数据,每个数据的大小是 0-2的32次幂-1,现在给你 1G 的空间,请问如何找到出现次数最多的数?
我们可以用哈希表进行最多的数查找,key 用来存储数据占用 4B(2的32次幂),value 用来存储出现次数占用 4B(最大占用 40 亿个数都一样的),不考虑其他哈希占用空间的影响,所以一个值就是占用 8B,最多可能占用 32G(40 亿*8B)的内容,会撑爆我们的 1G 空间
解决办法:我们可以利用哈希函数对 4 亿个数据进行处理,然后用 100 取模,分配到 100 个不同的文件中,由于离散性每个文件分配的数量是差不多的(32G/100),由于相同的输入一定有相同的输出,所以相同的数会被分配到同一个文件中,最后根据哈希表找到每个文件的最大值,再根据 100 个文件找出最大值
哈希表
哈希表是基于哈希函数实现的 实现原理:任意输入一个字符,根据哈希函数转换为哈希值,假设哈希表中桶的长度是 5,用哈希值用 5 取模,当输入的数量多的时候,根据哈希函数的离散特性,最终每个桶中的链表长度都是近乎相同的,如果想要查询速度近似 O(1),则就要链的长度是常量级别的,所以我们可以假设每个桶的链表长度是固定的, 当链表的数量大于这个固定长度时,对这个桶的数量进行扩展,达到近似 O(1)的效果
哈希表的查询,删除,插入,近似 O(1),但是扩展的消耗近似 O(N*logN)
题目 1:设计一种结构,该结构有以下三个功能 1.insert(key),将某个 key 加入到该结构中,做到不重复加入 2.delete(key),将原本结构中的 key 删除 3.getRandom(),等概率随机返回结构中的任意一个 key 【要求】insert,delete,getRandom 的时间复杂度为 O(1)
class hashCons {
constructor() {
this.map1 = new Map();
this.map2 = new Map();
this.size = 0;
}
insert(key) {
if (!this.map1.has(key)) {
this.map1.set(key, this.size);
this.map2.set(this.size++, key);
}
}
getRandom() {
if (this.size == 0) {
return null;
}
const num = parseInt(Math.random() * this.size);
return this.map2.get(num);
}
delete(key) {
if (this.map1.has(key)) {
const index = this.map1.get(key);
//删除key位置的数据
this.map1.delete(key);
this.map2.delete(index);
const lastKey = --this.size;
const value = this.map2.get(lastKey);
//迁移最后一位的数据到key位置,保证数据的连续性,这样才能保证getRandom可用
this.map1.delete(value);
this.map2.delete(lastKey);
this.map1.set(value, index);
this.map2.set(index, value);
}
}
}
应用二:布隆过滤器 布隆过滤器(BloomFilter)是由一个叫“布隆”的小伙子在 1970 年提出的,它是一个很长的二进制向量,主要用于判断一个元素是否在一个集合中。通过将元素转化成哈希函数再经过一系列的计算,最终得出多个下标,然后在长度为 n 的数组中该下标的值修改为 1。
题:我们有一个 100 亿个 url(假设每个 url64byte)组成的黑名单,我们不希望别人用我们服务的时候可以访问这些 url,常规做法我们使用 hashSet 存储这些 url 数据到内存中,当用户输入一个 url 时,从 hashSet 中进行查找,但是这个 hashSet 的最小空间是 640G(64byte*100 亿),所以我们至少也要需要十几台 64G 内存的服务器才能实现此需求
如果我们借助布隆过滤器,一台服务器就可以实现此需求,但是需要允许一定的失误率,而且不允许删除某一个 url,只允许加入和查询
失误会有两种: 黑名单误报为白名单(这种失误不会发生) 白名单误报为黑名单(这种失误可能会发生,通过人为设计,可以让其很低)
设计开始: 我们先设计一个 0 ~ m-1 个 bit 的位图,每个位的初始值是 0,我们随机拿一个 url,通过 k 个哈希函数把 url 转换为 k 个哈希值然后用 m 取模,把得到的值的位置置为 1 我们先把 baidu 通过这三个哈希函数取模后放到相应位置
然后我们先把 tencent 再次通过这三个哈希函数取模后放到相应位置
一直把 100 亿个数据放到里面
当我们查找某一个 url 是否在黑名单中,我们对 url 通过三个哈希函数处理后通过对 m 取模,如果得到的三个值都为 1,我们就认为是在黑名单中
所以,根据这种特性我们可以确定黑名单误报为白名单是不可能的,但是白名单误报为黑名单是有可能的 位图向量 m 越长,映射函数越多,误判率越低,所以误判率是由样本量和位图长度决定,如果提前可以确定误判率,也可以反推出来布隆过滤器的长度
而且因为多个数据经过运算后可能会映射到同一个位置,所以布隆过滤器很难做到删除
在存储空间和插入查询的时间复杂度都有巨大优势
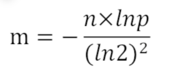
假设我们失误率允许为 0.01% 使用样本数量 n 和失误率 p 可以算出 m,公式为:
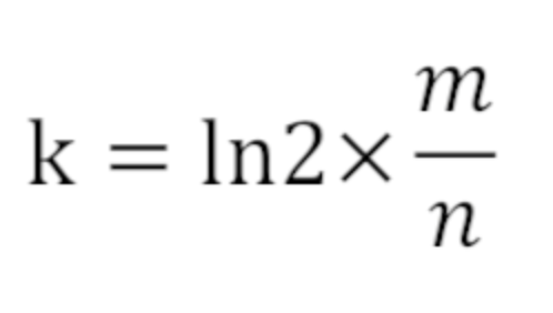
求得 m = 19.19n,向上取整为 20n。所以 2000 亿 bit,约为 25G。 所使用哈希函数个数 k 可以由以下公式求得:
所以 k = 14,即需要 14 个哈希函数。 通过 m = 20n, k = 14,可以通过以下公式算出设计的布隆过滤器的真实失误率为 0.006% 
